路由器WiFi天线拆机详解(路由器wifi天线如何拆)
随着无线通信的发展, wifi对我们日常生活工作越来越重要。
作为wifi的载体-路由器,也是经常出现在生活的各个角落。
本文主要从射频微波、天线行业等专业角度,对一些路由器的各种天线进行拆机分析,
然后从天线原理角度对路由器wifi天线进行深入分析。
2. 常见的路由器wifi天线
(2-1)2.4GHz 螺旋天线(螺旋套筒天线)。这种通常为高增益天线,增益一般可达到5dBi,具体原理下文仔细介绍。

(2-2)双频PCB天线。改天线为2.4GHz,5.5GHz频段的wifi,由两根同轴线分别馈电。增益一般,毕竟牺牲了天线的尺寸。

(2-3)双频螺旋天线。增益高。(还没找到实物拆解)

路由器的天线种类很多。具体原理见下文,仿真对比见下期文章。
3. 路由器天线原理分析
(3-1)螺旋天线:
螺旋天线突出的特点是宽带特征,也是最常用的圆极化天线。
螺旋天线的一般结构如图4-1 所示。螺旋天线通常用同轴线馈电,螺旋天线的一端与同轴线的内导体相连,另一端处于自由状态。
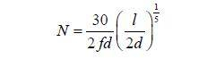
图4-1 中,2d 为螺旋直径,l 为螺旋天线长度,s 为螺距,定义N 为螺旋圈数。

工作在中心频率f 的螺旋天线,所需的线圈数目N 的近似计算公式为:

其中,螺距s = l / N ,所需金属线总长度L = 2Nπ d 。
螺旋天线常见的两种工作模式:轴向模螺旋天线和法向模螺旋天线。

当螺旋直径D(D=2d)的长度约为0.25~0.46λ时,图(a)。
天线沿轴线方向有最大辐射,并在轴线方向产生圆极化波。这种天线称为轴向模螺旋天线,常用于通信、雷达等。
轴向模螺旋天线的绕向决定极化旋向。
右手绕向的螺旋线为右旋圆极化,左手绕向的螺旋线为左旋圆极化。
当螺旋直径D 的长度小于0.18λ时,图(b)。
天线的最大辐射方向垂直于轴线方向,类似于单极天线,具有“8”字形方向图,称之为法向模螺旋天线,一般用于小功率电台。
此时螺旋天线退化为线天线,辐射线极化波。
电磁波沿螺旋轴线传播的相速比直线偶极子小,谐振长度可以缩短,故可以减小天线尺寸。
螺旋天线是一个慢波系统,电磁波在螺旋线中的传播速度为光速c,沿轴向的等效速率为u,
有关系式:u = c sinθ ,
θ 为螺旋切线与水平线间的夹角,
u < c,故螺旋天线是一个慢波系统,把螺旋天线中的波长称之为“导波长”。
故设计螺旋天线谐振在四分之一波长时,应该是谐振在四分之一的“导波长”上。
(3-2)螺旋套筒天线。
顾名思义,就是螺旋天线加上套筒。如上图,螺旋天线底部就是一个金属套筒。

对于简单的单极子天线来说,我们知道加粗振子可以获得很低的特性阻抗。
在天线内辐射体外面附加一与内辐射体同轴的金属套筒,就构成了套筒天线,
既等效加粗了振子,又实现了不对称形式的馈电,简单而且效果明显。通
常情况下套筒天线都可以达到倍频以上的相对带宽。就
结构而言,可以把套筒天线分成套筒单极子和套筒偶极子。






